Skip to content
  • Entdecke das wahre Deutschland.
    • Datenschutz
    • Impressum
    • Kontakt
    • Über uns
    • Nutzungsbedingungen
    • Cookie-Richtlinie
    • Blog
    • Entdecke das wahre Deutschland.
    Shock NaueShock Naue
      • Essen & Trinken
        • Getränke
        • Restaurants
        • Rezepte
        • Traditionelle Gerichte
      • Reisen
        • Natur & Erholung
        • Norddeutschland
        • Reisetipps
        • Städte
        • Süddeutschland
      • Sport
        • Fitness & Gesundheit
        • Fußball
        • Outdoor Aktivitäten
        • Sportarten
        • Sportevents
      • Finanzen
      • Gesundheit
      • Kultur & Gesellschaft
      • Lebensstil
      • Technologie & Bildung
        • Computer-Software
        • Computertricks
      • Umwelt
        HSC Alswede eSports FuPa Cup II

        Fußball

        FuPa-OWL-FIFA-Turnier: Ein virtuelles Frühlingsmärchen mit zweitem Platz für den HSC Alswede

        Die fußballfreie Zeit nutzte fupa.net OWL, um sein erstes FuPa-OWL-FIFA-Turnier zu organisieren. Dieses virtuelle Ereignis [...]

        Gottesanbeterin

        Haustiere

        Exotische Haustiere: Welches ist das Richtige für Sie?

        Entdecken Sie die faszinierende Welt der exotischen Haustiere und erfahren Sie, welche außergewöhnlichen Gefährten ein [...]

        Einfacher Plätzchenteig zum Ausstechen

        Essen & Trinken

        Der beste Plätzchenteig zum Ausstechen: Garantiert mürbe und buttrig!

        Weihnachten steht vor der Tür und die Vorfreude auf duftende Plätzchen steigt. Wenn Sie auf [...]

        Das Tierheim Stuttgart hat 68 Chihuahuas aufgenommen.

        Haustiere

        68 Chihuahuas im Tierheim Stuttgart: Ein Fall von Animal-Hoarding und die Herausforderungen für Tierschutzvereine

        Das Stuttgarter Tierheim startet das Jahr mit einer traurigen Rekordmeldung: 68 Chihuahuas mussten auf einen [...]

        Excel-Tabelle mit Beispieldaten

        Computertricks

        Der einfache Weg zur Provisionsabrechnung: Schluss mit Excel-Stress

        Die Berechnung von Bonuszahlungen und Provisionen klingt auf den ersten Blick einfach, doch die manuelle [...]

        HSC Alswede eSports FuPa Cup II
        FuPa-OWL-FIFA-Turnier: Ein virtuelles Frühlingsmärchen mit zweitem Platz für den HSC Alswede

        Die fußballfreie Zeit nutzte fupa.net OWL, um sein erstes FuPa-OWL-FIFA-Turnier zu organisieren. Dieses virtuelle Ereignis [...]

        Aitana Bonmati während eines Spiels
        Spaniens Frauenfußball: Von Aufstieg, Stars und Titeltraum

        Spanien, das Land der Sonne, des Flamencos und der weltbesten Fußballerinnen – zumindest laut FIFA-Weltrangliste. [...]

        Ralf Rangnick bei einer Pressekonferenz nach dem EM 2024-Qualifikationsspiel zwischen Estland und Österreich am 16. November 2023. (Foto: RAIGO PAJULA / AFP)
        Die nächsten Länderspiele Österreichs 2025: Spielplan, Termine und Übertragung

        Die österreichische Fußball-Nationalmannschaft blickt gespannt auf das kommende Länderspieljahr 2025. Trotz der jüngsten Enttäuschung in [...]

        Zanini de Zanine kreiert exklusive Kollektion für Eliane Revestimentos zum 60-jährigen Jubiläum

        Zum 60-jährigen Bestehen feiert Eliane Revestimentos die Einführung einer neuen, exklusiven Kollektion, die in Zusammenarbeit [...]

        Fußball Bundesliga Relegation | 1. FC Heidenheim vs. Werder Bremen
        Werder Bremen sichert den Klassenerhalt durch Auswärtstorregel

        Fußball Bundesliga Relegation | 1. FC Heidenheim vs. Werder Bremen Heidenheim 2:2 Werder Bremen (2:2 [...]

        Filip Kostic feiert sein Tor für Eintracht Frankfurt
        Eintracht Frankfurt: Filip Kostic – Zwischen Transferdrama und Comeback

        Der jüngste Wechselpoker um Filip Kostic sorgte in den Wochen vor dem Spiel von Eintracht [...]

        Lena Oberdorf im Spiel des FC Bayern München gegen Juventus FC in der UEFA Women's Champions League.
        Lena Oberdorf: Ein Stern am Fußballhimmel mit schweren Rückschlägen

        Lena Oberdorf, eine herausragende Mittelfeldspielerin des FC Bayern München und ein aufstrebender Star des deutschen [...]

        Der FC Bayern trifft bei der Klub-WM auf Benfica Lissabon.
        Benfica vs. Bayern: Klub-WM live im TV & Stream – Wer siegt im Topspiel?

        Die FIFA Klub-Weltmeisterschaft 2025 in den USA erreicht ihren dritten Spieltag, und ein echtes europäisches [...]

        SAP S/4HANA Sourcing and Procurement & SAP ERP MM
        SAP WM Tabellen: Ihr Leitfaden für ein effizientes Warehouse Management

        Das SAP S/4HANA Warehouse Management (WM) ist ein unverzichtbarer Baustein in modernen Logistiklösungen und unterstützt [...]

        Esther Sedlaczek als Moderatorin bei der ARD
        Esther Sedlaczek: Karriere, die späte Vaterbeziehung und die Liebe zu Kevin Trapp

        Esther Sedlaczek, eine der bekanntesten Moderatorinnen im deutschen Sportfernsehen, blickt auf eine beeindruckende Karriere zurück, [...]

        Omar Marmoush im Jubel nach seinem Tor
        Bayern gegen Eintracht Frankfurt: Ein packendes 3:3-Spektakel in der Bundesliga

        Das Deutsche Bank Park erlebte am Sonntag ein wahres Fußballfest, als Eintracht Frankfurt den FC [...]

        Luftaufnahme des beeindruckenden Lusail Stadions, der Spielstätte des WM-Finales 2022 in Katar
        Die Gruppenphase der WM 2022: Ein detaillierter Rückblick auf die Vorrunde in Katar

        Die FIFA Weltmeisterschaft 2022 in Katar war ein Fußballfest, das wie gewohnt aus drei entscheidenden [...]

        Cathy Hummels in jungen Jahren, bevor sie ihren Ex-Mann Mats heiratete
        Cathy und Mats Hummels: Cathy packt über die Promi-Ehe aus

        Auch nach ihrer offiziellen Scheidung am 19. Dezember 2022 stehen Cathy und Mats Hummels immer [...]

        Marokkanische Spieler feiern den historischen Sieg über Portugal im Viertelfinale und den Einzug ins Halbfinale der FIFA WM 2022 in Katar.
        Fußball Weltmeister 2022: Argentinien krönt sich in Katar zum Champion

        Die FIFA Fußball-Weltmeisterschaft 2022 in Katar war ein Turnier der Superlative und der Kontraste, das [...]

        Brasiliens Casemiro jubelt mit Thiago Silva nach seinem entscheidenden Tor gegen die Schweiz.
        Brasilien gegen Schweiz: Casemiros Zauber und Neymars Schatten bei der WM 2022

        Die Fußball-Weltmeisterschaft ist ein Fest der Emotionen, der Triumphe und manchmal auch der Kontroversen. Als [...]

        Harry Kane bejubelt sein Tor für den FC Bayern München gegen Galatasaray AS in der UEFA Champions League
        Spielstand Union Berlin gegen FC Bayern: 2:2 Drama an der Alten Försterei

        Der lang erwartete 10. Bundesliga-Spieltag hielt, was er versprach: Ein packendes Duell zwischen dem 1. [...]

        Marokkos Stürmer Youssef En-Nesyri jubelt nach seinem Führungstor im Viertelfinale gegen Portugal in Doha.
        WM 2022 Viertelfinale: Dramatische Entscheidungen und der Weg ins Halbfinale

        Das Viertelfinale der FIFA Fußball-Weltmeisterschaft 2022 in Katar markierte den Höhepunkt der K.o.-Phase, in der [...]

        Ein Fußballstadion während eines Bundesliga-Spiels mit Flutlicht und zahlreichen Fans auf den Rängen
        Die Unparteiischen im Fokus: Alles über die Bundesliga Schiedsrichter

        Die Bundesliga, Deutschlands höchste Fußballliga, fasziniert Millionen von Fans mit packenden Duellen, spektakulären Toren und [...]

        Fussball FC Barcelona gegen Real Madrid CF
        El Clásico: Real Madrid schockt Barcelona im Titelrennen

        Der spanische Fußball erlebte am Samstagabend einen wahren Schock, als Real Madrid im Camp Nou [...]

        Bundesliga Live Erlebnis Banner mit Vereinslogos
        RB Leipzig besiegt Union Berlin: Xavi Simons und Benjamin Sesko glänzen in Überzahl

        Am Sonntagabend feierte RB Leipzig einen überzeugenden 3:0-Sieg gegen den bis dahin ungeschlagenen Tabellenführer Union [...]

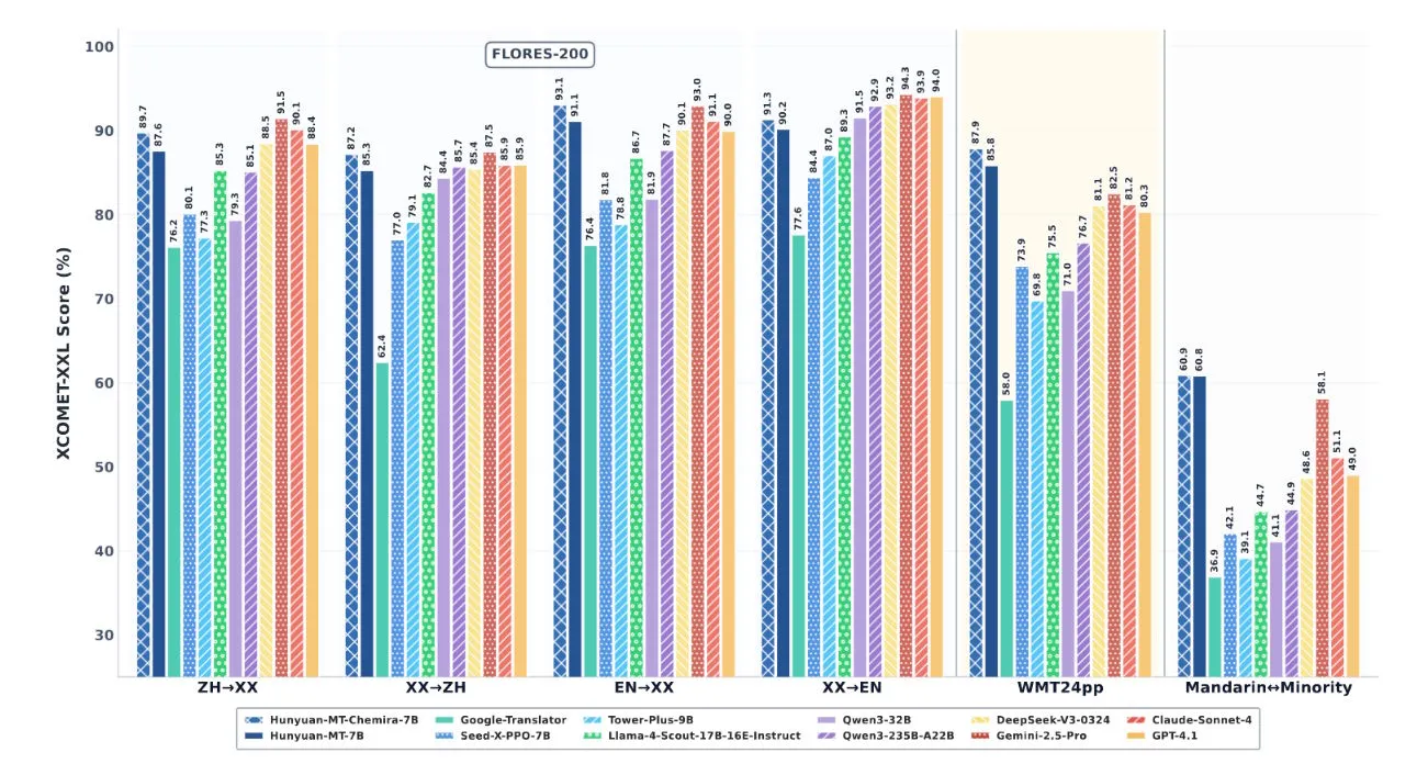
        Balkendiagramm zeigt XCOMET-XXL-Scores für verschiedene Übersetzungsmodelle in sechs Kategorien, wobei Tencents Hunyuan-Modelle hohe Werte erreichen
        Tencents Hunyuan MT: Wie 7B-Modelle Google Translate bei XCOMET-XXL-Scores überflügeln

        Der chinesische Technologiegigant Tencent hat kürzlich zwei spezialisierte Übersetzungsmodelle als Open Source veröffentlicht, die nach [...]

        • 1
        • 2
        • 3
        • 4
        • …
        • 8
        Suchen
        Neuer Artikel
        • FuPa-OWL-FIFA-Turnier: Ein virtuelles Frühlingsmärchen mit zweitem Platz für den HSC Alswede Comments Off on FuPa-OWL-FIFA-Turnier: Ein virtuelles Frühlingsmärchen mit zweitem Platz für den HSC Alswede
        • Exotische Haustiere: Welches ist das Richtige für Sie? Comments Off on Exotische Haustiere: Welches ist das Richtige für Sie?
        • Der beste Plätzchenteig zum Ausstechen: Garantiert mürbe und buttrig! Comments Off on Der beste Plätzchenteig zum Ausstechen: Garantiert mürbe und buttrig!
        • 68 Chihuahuas im Tierheim Stuttgart: Ein Fall von Animal-Hoarding und die Herausforderungen für Tierschutzvereine Comments Off on 68 Chihuahuas im Tierheim Stuttgart: Ein Fall von Animal-Hoarding und die Herausforderungen für Tierschutzvereine
        • Der einfache Weg zur Provisionsabrechnung: Schluss mit Excel-Stress Comments Off on Der einfache Weg zur Provisionsabrechnung: Schluss mit Excel-Stress
        • Der Toaster-Klassiker: Ein Stück Nostalgie auf dem Frühstückstisch Comments Off on Der Toaster-Klassiker: Ein Stück Nostalgie auf dem Frühstückstisch
        • Low-Carb-Zimtschnecken-Käsekuchen: Gesundes Genussrezept Comments Off on Low-Carb-Zimtschnecken-Käsekuchen: Gesundes Genussrezept
        • Ashampoo Burning Studio FREE: Die kostenlose Lösung für all Ihre Brennanforderungen Comments Off on Ashampoo Burning Studio FREE: Die kostenlose Lösung für all Ihre Brennanforderungen
        • Italienische Mandelplätzchen: Ein Hauch von Sizilien für Ihren Kaffee Comments Off on Italienische Mandelplätzchen: Ein Hauch von Sizilien für Ihren Kaffee
        • Terraristik für Anfänger: Exotische Haustiere artgerecht halten Comments Off on Terraristik für Anfänger: Exotische Haustiere artgerecht halten
        Kommentieren
        • vyvoz_zdOn on Günstige Urlaubsziele 2022: Wo Sie diesen Sommer sparen können
        • Pane-Bistecca on Russische Gerichte: Eine kulinarische Entdeckungsreise für Feinschmecker
        • Pane-Bistecca on Die Faszination Rumänischer Rezepte: Eine Kulinarische Entdeckungsreise
        • Pane-Bistecca on Spanische Rezepte: Eine kulinarische Reise von Tapas bis Tarta de Santiago
        • Pane-Bistecca on Brasiliens Geschmackswelt entdecken: Die besten brasilianischen Rezepte von herzhaft bis süß
        • Datenschutz
        • Impressum
        • Kontakt
        • Über uns
        • Nutzungsbedingungen
        • Cookie-Richtlinie
        • Blog
        Copyright 2025 © Shocknaue.com
        • Essen & Trinken
          • Getränke
          • Restaurants
          • Rezepte
          • Traditionelle Gerichte
        • Reisen
          • Natur & Erholung
          • Norddeutschland
          • Reisetipps
          • Städte
          • Süddeutschland
        • Sport
          • Fitness & Gesundheit
          • Fußball
          • Outdoor Aktivitäten
          • Sportarten
          • Sportevents
        • Finanzen
        • Gesundheit
        • Kultur & Gesellschaft
        • Lebensstil
        • Technologie & Bildung
          • Computer-Software
          • Computertricks
        • Umwelt
        • WooCommerce not Found